你提供的照片可能用于改善必应图片处理服务。
隐私政策
|
使用条款
无法使用此链接。检查链接是否以 "http://" 或 "https://" 开头,然后重试。
无法处理此搜索。请尝试其他图像或关键字。
试用视觉搜索
使用图像搜索、识别对象和文本、翻译或解决问题
将一个或多个图像拖到此处,
上传图像
或
打开相机
将图像放到此处以开始搜索
要使用可视化搜索,请在浏览器中启用相机
English
全部
搜索
图片
灵感
创建
集合
视频
地图
资讯
更多
购物
航班
旅游
笔记本
自动播放所有 GIF
在这里更改自动播放及其他图像设置
自动播放所有 GIF
拨动开关以打开
自动播放 GIF
图片尺寸
全部
小
中
大
特大
至少... *
自定义宽度
x
自定义高度
像素
请为宽度和高度输入一个数字
颜色
全部
仅限颜色
黑白
类型
全部
照片
剪贴画
素描
动画 GIF
透明
版式
全部
方形
横版
高
人物
全部
仅脸部
半身像
日期
全部
过去 24 小时
过去一周
过去一个月
去年
授权
全部
所有创作共用
公共领域
免费分享和使用
在商业上免费分享和使用
免费修改、分享和使用
在商业上免费修改、分享和使用
详细了解
清除筛选条件
安全搜索:
中等
严格
中等(默认)
关闭
筛选器
768×1024
scribd.com
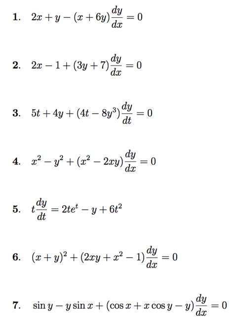
Di Erential Equations (An E…
244×169
efunda.com
Exact First Order Ordinary Differential E…
266×90
efunda.com
Exact First Order Ordinary Differential Equations
1024×783
chegg.com
Solved Exact ODE Student Work Example Exact ODE Problem | …
1620×2292
studypool.com
SOLUTION: Explained Exa…
1620×2292
studypool.com
SOLUTION: Explained Exa…
1620×2292
studypool.com
SOLUTION: Explained Exa…
1620×2292
studypool.com
SOLUTION: Explained Exa…
1080×277
chegg.com
Solved b) Given the following IF and the nonexact ODE. Use | Chegg.com
1066×800
Weebly
Ode Examples - Language ARTS
1369×387
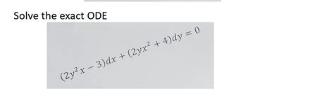
chegg.com
Solved Solve the exact ODE | Chegg.com
1486×700
chegg.com
Solved Give an example of an ODE satisfying each of the | Chegg.com
1454×188
chegg.com
Solved Exercise 4.3. Exact equations. Sometimes an ODE is a | Chegg.com
1811×498
chegg.com
Solved a) Using exact method solve the following exact ODE. | Chegg.com
640×640
researchgate.net
Exact recursion (3) vs. the ODE appro…
1263×893
worksheetsplanet.com
What Is An Ode
700×700
Chegg
Solved 2.7 Exact Equations 1. Prov…
1181×593
chegg.com
Solved Check the exactness of the following ODE. Write E for | Chegg.com
700×430
chegg.com
Solved a) Using exact method solve the following exact ODE. | Chegg.…
700×194
chegg.com
Solved 2. Check if the given ODE is exact or nonexact and | Chegg.com
700×363
chegg.com
Solved Check the exactness of the following ODE. Write E for | Chegg.com
390×505
examples.com
30+ Ode Poem Examples to Download
390×505
examples.com
Ode Poem - 30+ Examples, Forma…
390×505
examples.com
Ode Poem - 30+ Examples, For…
519×310
Chegg
Solved Solve the given Exact ODE and select your answer from | Cheg…
750×600
diedastory.blogspot.com
37 example of an ode in poetry
568×778
chegg.com
Solved Determine if th…
700×207
chegg.com
Solved Question 2 If the given ODE is exact, solve it. | Chegg.com
1845×597
chegg.com
Solved Exact ODE with Integration Factor 10% 4. | Chegg.com
700×186
chegg.com
Solved Solve the following Exact ODE: | Chegg.com
1322×218
chegg.com
Solved Determine if the ODE is exact or inexact, then solve. | Chegg.com
428×125
chegg.com
Solve the following Exact ODE: | Chegg.com
823×435
chegg.com
Solved 1. Verify that the equation is an exact ODE and find | Chegg.com
1422×800
fity.club
Examples Of Ode Poems
700×285
chegg.com
Show that the given ODE is an exact equation, and | Chegg.com
某些结果已被隐藏,因为你可能无法访问这些结果。
显示无法访问的结果
报告不当内容
请选择下列任一选项。
无关
低俗内容
成人
儿童性侵犯
反馈